Výskum akustických vlastností v Nitrianskej synagóge
1 Neologická synagóga v Nitre
Neologická synagóga v Nitre je jednou z najvýznamnejších na území Slovenska a spája sa s bohatou tradíciou židovstva v Nitre a nitrianskom regióne. Nitra mala na prelome 19. a 20. storočia bohaté zastúpenie židovskej populácie a po jej rozdelení v roku 1869 na ortodoxnú a neologickú komunitu vznikla požiadavka na vybudovanie tejto synagógy. Architektom je významný budapeštiansky staviteľ synagóg Lipót Baumhorn a stavba bola dokončená v roku 1911. Ide o kupolovú stavbu s dvoma vežami. Interiér synagógy dopĺňa galéria podopretá štyrmi piliermi (Borský, 2005, s. 149). V rokoch 1990 a 1996 sa uskutočnili na objekte rekonštrukčné práce a budova dostala svoju súčasnú podobu. Popri rekonštrukčných a stavebných prácach sa v synagóge uskutočnil v roku 1990 aj akustický výskum pod vedením prof. Ing. Petra Tomašoviča, Csc. zameraný na vyhodnotenie času dozvuku (Škopková, 1990). V roku 2003 bola sprístupnená verejnosti a slúži na organizovanie kultúrno-spoločenských akcií, koncertov, hudobných festivalov a divadelných predstavení. Významnou súčasťou Nitrianskej synagógy je stála expozícia Múzea židovskej kultúry Slovenského národného múzea v Bratislave, zameraná na obdobie holokaustu (Borský, et. al., 2012, s. 15). V interiéri synagógy sa nachádza veľmi malý podiel akusticky pohltivých materiálov – podlaha 1.NP je tvorená keramickou dlažbou, podlaha stálej expozície na 2.NP drevenými parketami, steny a stropy interiéru sú opatrené omietkami. Len v mieste prezentácie hudobných diel je na zemi položený koberec. Podlahová plocha prvého nadzemného podlažia je približne 280 m2.
2 Metodika merania akustického priestoru
Metodika vychádza predovšetkým z požiadaviek noriem STN EN ISO 3382-1 (SUTN, 2004) a STN EN 60268-16 (SUTN, 2011). Nakoľko neologická synagóga neslúži pôvodnému účelu, ale je využívaná na usporadúvanie kultúrno-spoločenských podujatí, metodika rozloženia zdrojov zvuku a mikrofónov vychádza z odporúčaní pre meranie akustických parametrov sakrálnych priestorov (Martellotta, et. al., 2009) a koncertných priestorov (Hidaka, et. al., 1995). Pri meraní boli využité nasledovné technické zariadenia:
- – všesmerový zdroj zvuku Norsonic Nor276,
- – smerový aktívny reproduktor Yamaha HS50 (pre potreby vytvorenia akustického modelu priestoru),
- – zvuková karta Roland Quad Capture,
- – kalibrovaný merací mikrofón Audix TM1 Plus,
- – meracie mikrofóny Behringer ECM8000 (pre potreby vytvorenia akustického modelu priestoru),
- – umelá hlava Soundman John s kalibrovanými mikrofónmi Soundman OKM II,
- – merací softvér ARTA,
- konvolučný dozvukový program AudioEase Altiverb 7.
Výskum sa uskutočnil 15. júna 2015.
2.1 Polohy zdroja zvuku
Všesmerový zdroj zvuku bol umiestnený vo výške 1,5 metra nad zemou celkovo v troch pozíciách. Voľby pozícií zodpovedajú štandardnému umiestneniu interpretov a hudobných nástrojov v priestore synagógy. V pozícii Z1 je najčastejšie umiestňovaný klavír, pozícia Z3 zodpovedá stojacemu alebo sediacemu sólistovi a pozícia Z2 predstavuje priestor pre zborové spevácke telesá (obrázok 1). Pozícia Z2 zároveň zahŕňa aj priestor vyvýšeného pódia v minulosti slúžiaceho pre potreby bohoslužieb. Pre vytvorenie akustického modelu priestoru bol zdroj zvuku umiestnený v pozícii Z1vzhľadom na požiadavku čo najsúmernejšieho vybudenia zvuku v priestore. Merania boli vykonané v stave priestoru bez obsadenia divákmi.
2.2 Polohy mikrofónov
V priestore synagógy bolo zvolených dvanásť meracích mikrofónových bodov M (obrázok 1). Na balkónoch pozície situované neboli, nakoľko tento priestor nie je využívaný počas kultúrnych akcií a je určený stálej expozícii. Mikrofón bol umiestnený vo výške uší sediaceho poslucháča, čo predstavuje úroveň 1,2 metra nad podlahou. V každej pozícii sa vykonali tri následne priemerované merania pre dosiahnutie vyššej presnosti. Pre meranie koeficientu vzájomnej počuteľnosti IACC bola umelá meracia hlava umiestňovaná na identických pozíciách. Pre tvorbu akustického modelu priestoru sa využili mikrofónové pozície M5 a M8.
2.3 Metodika snímania akustiky priestoru
Snímanie a reprodukcia akustického priestoru boli realizované pomocou konvolučného dozvukového procesora Altiverb 7 podľa metodiky poskytnutej spoločnosťou AudioEase. Reprodukcia akustiky priestoru je vhodná pre postprodukčnú úpravu monofonického zvukového signálu (napríklad hovorené slovo, spev, sólový nástroj). Ukážka akustického modelu použitím programu Altiverb 7 sa nachádza na internetovom odkaze
3 Vyhodnotenie výskumu a závery
Priestor nitrianskej synagógy slúži v súčasnosti na koncertné a kultúrno spoločenské podujatia, preto sa vyhodnotenie výskumu opiera predovšetkým o normu STN EN ISO 3382-1. Prezentované dáta vychádzajúce z tejto normy sú priemerom meraní vo všetkých pozíciách mikrofónov a zdrojov zvuku tak, ako sú zakreslené v pôdorysoch (Obrázky 1-3).
- – čas dozvuku (T30, T20)
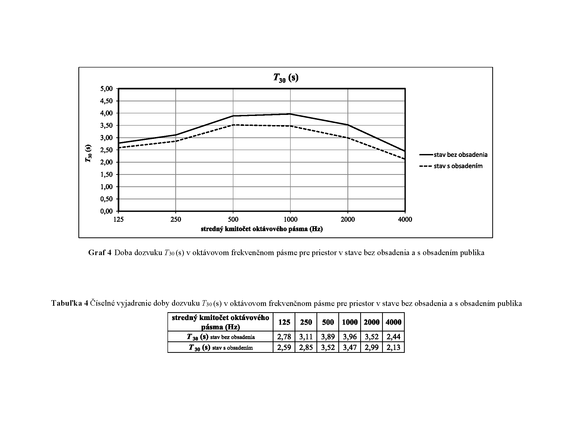
Jedným z najdôležitejších ukazovateľov charakteristiky akustických vlastností priestoru je doba dozvuku prezentovaná v hodnotiacich pásmach 30 dB a 20 dB. Beranek (Beranek, 2011, s. 3025) odporúča, aby sa priemerná hodnota dozvuku v koncertnej sále pohybovala v rozmedzí 1,9 až 2,1 sekúnd. Meraný priestor disponuje dlhšou dobou dozvuku (Grafy 1-3, Tabuľky 1-3), aká je vo všeobecnosti odporúčaná v štandardných koncertných sálach, a to aj po započítaní predikcie obsadenosti sály publikom (Graf 4, Tabuľka 4) definovanej príslušnou metodikou (Hidaka, et. al., 2001).
- – sila zvuku G
Beranek (Beranek, 2011, s. 3025) zároveň odporúča pre koncertné priestory, aby hodnoty sily zvuku Gmid ležali v pásme 4 až 7,5 dB. Priestor synagógy vykazuje v stave neobsadenosti hodnotu Gmid na úrovni 4,89 dB, pričom po započítaní predikcie obsadenosti priestoru táto hodnota klesá na 3,3 dB.
Vzhľadom na dĺžku doby dozvuku T30 a úroveň sily zvuku Gmid sa odporúča pri plánovaní koncertných podujatí bez podpory ozvučenia preferovať menšie koncertné telesá a sólistické vystúpenia.
- – index basových frekvencií
Prostredníctvom parametru G je možné stanoviť úroveň indexu basových frekvencií na základe vzťahu [1] stanoveného Barronom (Barron, 2010, s. 128–129, 223). V priestore Nitrianskej synagógy má tento parameter po započítaní predikcie obsadenosti priestoru hodnotu 0,6 dB. Podľa kategorizácie Beranka (Beranek, 2011, s. 3023) tak ide o priestor s charakteristikou dostatočnej úrovne vnímania basových frekvencií.
Index basových frekvencií = G(125Hz) – Gmid (dB) (1)
- – index počiatočnej a neskoršie prichádzajúcej zvukovej energie (C80)
Dôležitým parametrom z pohľadu jasnosti a zrozumiteľnosti hudby v priestore je pomer počiatočnej a neskoršie prichádzajúcej zvukovej energie C80. Hodnoty namerané v Nitrianskej synagóge (Graf 5, Tabuľka 5) spadajú podľa aktuálnej kategorizácie parametru C80 (Vondrášek a Antek, 2005, s. 10) do pásma koncertných priestorov vhodných na interpretáciu hudby dychovými nástrojmi, organom alebo spevom. Priestor nie je príliš vhodný pre nástroje perkusívneho charakteru (klavír, bicie nástroje) a preferuje sa interpretácia v pomalých tempách.
- – index prenosu reči STI
V Nitrianskej synagóge je za účelom zrozumiteľnosti hovoreného slova využívaný ozvučovací systém. Z historického hľadiska je ale prínosné zistiť, aká je miera zrozumiteľnosti v tomto priestore bez použitia ozvučenia, nakoľko synagóga v minulosti slúžila ako sakrálny priestor. Podľa normy STN EN 60268-16 je zrozumiteľnosť reči definovaná indexom prenosu reči STI a rozdelená do niekoľkých kategórií (tabuľka 6). V priestore Nitrianskej synagógy bol parameter STI meraný pre polohu zdroja zvuku v pozíciách Z1 a Z2 (Graf 6). Nakoľko sú hodnoty parametra STI priamo závislé od vzdialenosti mikrofónu od zdroja zvuku, tento údaj je pre lepšiu orientáciu zakreslený aj v pôdorysoch (Obrázky 1-3). Z oboch grafov je zrejmé, že zrozumiteľnosť reči bez použitia ozvučenia sa v celom priestore pohybuje na priemernej úrovni.
Uvedené kategórie výstupov výskumu môžu byť použité pre vhodný výber hudobných telies a hudobného repertoáru tak, aby mal poslucháč čo možno najlepší zvukový zážitok. Uvedené informácie aj spolu s prezentovanými grafmi a tabuľkami sa odporúčajú k nahliadnutiu pre tých interpretov, ktorí akustické vlastnosti priestoru Nitrianskej synagógy nepoznajú. Nápomocná pri vytváraní zvukovej predstavy priestoru môže byť aj zvuková ukážka akustického modelu uvedená na tretej strane tejto správy. Teoretický náhľad na správanie sa zvuku v priestore môže interpretom výrazne pomôcť pri zostavovaní dramaturgie koncertného programu.
Použitá literatúra
Barron, M. 2010. Auditorium Acoustics and Architectural Design. London: SponPress. 504 s.
Borský, M. 2005. Synagogue Architecture in Slovakia Towards Creating a Memorial Landscape of Lost Community. Heidelberg: Hochschule für Jüdische Studien. 315 s.
Borský, M. et. al. 2012. Synagóga v Nitre. Nitra: Mesto Nitra. 24 s.
Beranek, L. L. 2011. The sound strength parameter G and its importance in evaluating and planning the acoustics of halls for music. The Journal of the Acoustical Society of America, 125(5), s. 3020-3026.
Hidaka, T., Beranek, L. L. a Okano, T., 1995. Interauralcross-correlation, Lateral Fraction, and Low- and High-frequency Levels as Measures of Acoustical Quality in Concert Halls. The Journal of the Acoustical Society of America, 98(2), s. 988-1007.
Hidaka, T., Nishihara, N. a Beranek, L. L., 2001. Relation of acoustical parameters with and without audiences in concert halls and a simple method for simulating the occupied state. The Journal of the Acoustical Society of America, 109(3), s. 1028-1042.
Martellotta, F., et. al. 2009. Guidelines for acoustical measurements in churches. Applied Acoustics, 70(2), s. 378–388.
SUTN, 2004. STN EN ISO 3382 Meranie akustických vlastností miestnosti Časť 1: Sálové priestory. Bratislava, Slovenský ústav technickej normalizácie.
SUTN, 2011. STN EN 60268-16 Elektroakustické zariadenia. Časť 16: Objektívne hodnotenie zrozumiteľnosti reči indexom prenosu reči. Bratislava, Slovenský ústav technickej normalizácie.
Škopková, T. 1990. Meranie a vyhodnotenie času dozvuku v synagogue v Nitre. Bratislava: STU. 22 s.
Vondrášek, M. a Antek, M., 2005. Comparison of objective criteria of concert halls quality. Acoustic Letters, 11(3), s. 9-18.
Autori:
Mgr. Pavol Brezina, PhD.
Ing. Peter Zaťko
Projekt bol podporený Univerzitnou Grantovou Agentúrou Univerzity Konštantína Filozofa v Nitre (projekt s názvom Akustické podmienky v sakrálnych stavbách Slovenska)
